关于2024年春季开放教育新生未缴费报到新生名单公示
发布日期:2024-06-12 来源: 浏览次数: 作者:继续教育学院


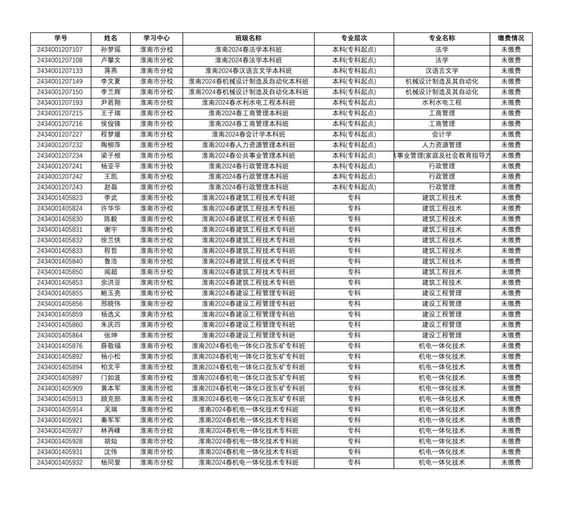
截止到6月12日,我校开放教育2024年春季新生尚有部分学生未缴费。现将相关信息予以公示,公示期为6月12日—6月15日,过期将按自动放弃入学资格处理,并按规定流程注销学信网学籍信息。


联系电话:0554-2669802

淮南开放大学

2024年6月12日