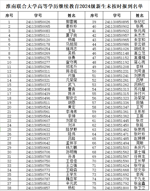
淮南联合大学高等学历继续教育2024级新生报到注册工作于2023年3月27日结束,目前仍有76名学生未在规定期限内办理入学手续或已明确表示放弃入学资格,根据《普通高等学校学生管理规定》(教育部第41号令)及有关规定,自报到之日截止之前未提交报名材料及未完成缴费的新生,拟按自动放弃入学资格处理。现对未报到的76名2024级新生名单予以公示。公示时间为2024年3月27日至2024年4月2日。公示期间如有异议者,请在公示期间内由本人实名提出。公示结束后,继续教育学院学籍学历管理科将对名单中的学生在中国高等教育学生信息网按放弃入学资格处理。
 公示联系电话:0554-2669802
